今天用到了git rebase命令来进行合并两次提交,顺带梳理下rebase命令的用法;
rebase在git中是一个非常有魅力的命令,使用得当会极大提高自己的工作效率;相反,如果乱用,会给团队中其他人带来麻烦。它的作用简要概括为:可以对某一段线性提交历史进行编辑、删除、复制、粘贴;因此,合理使用rebase命令可以使我们的提交历史干净、简洁!
前提:不要通过rebase对任何已经提交到公共仓库中的commit进行修改(你自己一个人玩的分支除外);
一、合并多个commit为一个完整commit
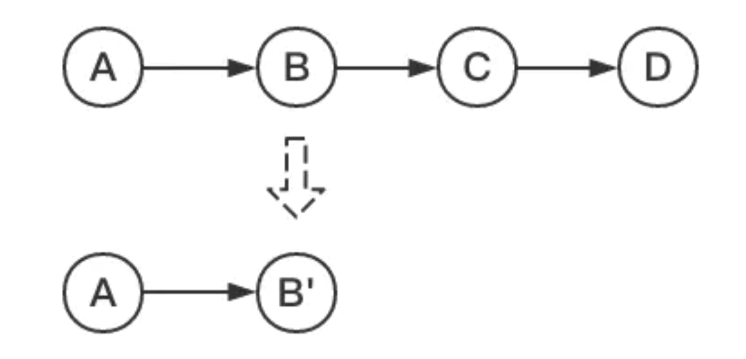
当我们在本地仓库中提交了多次,在我们把本地提交push到公共仓库中之前,为了让提交记录更简洁明了,我们希望把如下分支B、C、D三个提交记录合并为一个完整的提交,然后再push到公共仓库。
![]() |
|---|
现在我们在测试分支上添加了四次提交,我们的目标是把最后三个提交合并为一个提交:
![]() |
|---|
这里我们使用命令:
1 | git rebase -i [startpoint] [endpoint] |
其中-i的意思是--interactive,即弹出交互式的界面让用户编辑完成合并操作,[startpoint] [endpoint]则指定了一个编辑区间,如果不指定[endpoint],则该区间的终点默认是当前分支HEAD所指向的commit(注:该区间指定的是一个前开后闭的区间)。
在查看到了log日志后,我们运行以下命令:
1 | git rebase -i 36224db |
或:
1 | git rebase -i HEAD~3 |
然后我们会看到如下界面:
![]() |
|---|
上面未被注释的部分列出的是我们本次rebase操作包含的所有提交,下面注释部分是git为我们提供的命令说明。每一个commit id 前面的pick表示指令类型,git 为我们提供了以下几个命令:
- pick:保留该commit(缩写:p)
- reword:保留该commit,但我需要修改该commit的注释(缩写:r)
- edit:保留该commit, 但我要停下来修改该提交(不仅仅修改注释)(缩写:e)
- squash:将该commit和前一个commit合并(缩写:s)
- fixup:将该commit和前一个commit合并,但我不要保留该提交的注释信息(缩写:f)
- exec:执行shell命令(缩写:x)
- drop:我要丢弃该commit(缩写:d)
根据我们的需求,我们将commit内容编辑如下:
![]() |
|---|
然后是注释修改界面:
![]() |
|---|
编辑完保存即可完成commit的合并了:
![]() |
|---|
二、将某一段commit粘贴到另一个分支上
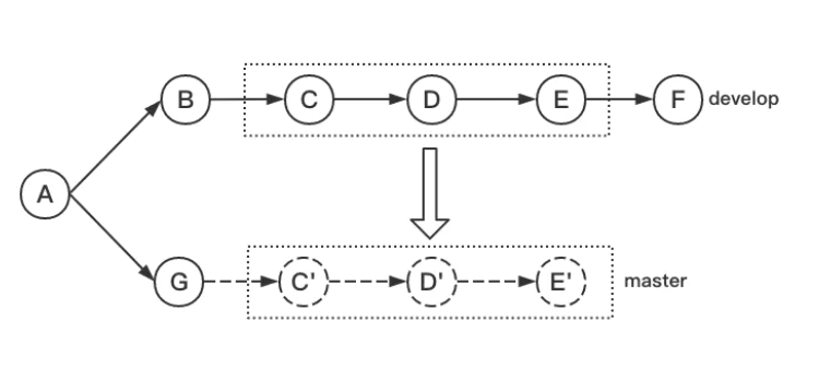
当我们项目中存在多个分支,有时候我们需要将某一个分支中的一段提交同时应用到其他分支中,就像下图:
![]() |
|---|
我们希望将develop分支中的C~E部分复制到master分支中,这时我们就可以通过rebase命令来实现(如果只是复制某一两个提交到其他分支,建议使用更简单的命令:git cherry-pick)。
在实际模拟中,我们创建了master和develop两个分支:
master分支:
![]() |
|---|
develop分支:
![]() |
|---|
我们使用命令的形式为:
1 | git rebase [startpoint] [endpoint] --onto [branchName] |
其中,[startpoint] [endpoint]仍然和上一个命令一样指定了一个编辑区间(前开后闭),--onto的意思是要将该指定的提交复制到哪个分支上。
所以,在找到C(90bc0045b)和E(5de0da9f2)的提交id后,我们运行以下命令:
1 | git rebase 90bc0045b^ 5de0da9f2 --onto master |
注:因为[startpoint] [endpoint]指定的是一个前开后闭的区间,为了让这个区间包含C提交,我们将区间起始点向后退了一步。
运行完成后查看当前分支的日志:
![]() |
|---|
可以看到,C~E部分的提交内容已经复制到了G的后面了,大功告成?NO!我们看一下当前分支的状态:
![]() |
|---|
当前HEAD处于游离状态,实际上,此时所有分支的状态应该是这样:
![]() |
|---|
所以,虽然此时HEAD所指向的内容正是我们所需要的,但是master分支是没有任何变化的,git只是将C~E部分的提交内容复制一份粘贴到了master所指向的提交后面,我们需要做的就是将master所指向的提交id设置为当前HEAD所指向的提交id就可以了,即:
1 | git checkout master |
![]() |
|---|
这样就大功告成了!












